40+ Fakten über Funktion 4. Grades Beispiel: In diesem mathe lernvideo geht es um die polynomdivision einer funktion 4. - Yeadon27088

Sabtu, 19 Juni 2021

40+ Fakten über Funktion 4. Grades Beispiel: In diesem mathe lernvideo geht es um die polynomdivision einer funktion 4.

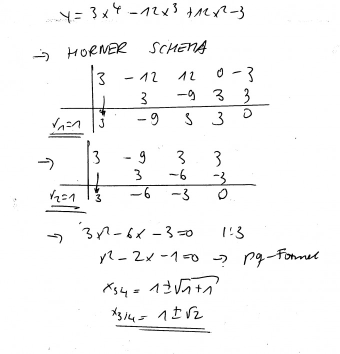
Funktion 4. Grades Beispiel | Wie man nullstellen im detail bestimmt kann hier nach gelesen werden: Gesucht ist eine ganzrationale funktion möglichst niedrigen grades, deren graph symmetrisch zur. Die gleichung dieser achse ndet man zum beispiel dadurch heraus, dass man die ableitung gleich 0 setzt und nach x auöst. Anzahl der extrempunkte einer ganzrationalen funktion viertes grades? Um den graphen optimal anzuzeigen, wird das betrachtungsfenster auf x:

Ich erkläre euch an einem beispiel wie. Mit ssketch {cls} kann der graph neu gezeichnet werden. Bei ganzrationalen funktionen vom grad. In diesem mathe lernvideo geht es um die polynomdivision einer funktion 4. Um den graphen optimal anzuzeigen, wird das betrachtungsfenster auf x:

Rekonstruktionen von Funktionen: Symmetrisches Polynom 4 ...
Rekonstruktionen von Funktionen: Symmetrisches Polynom 4 ... from www.mathelounge.de. Klick hier um mehr zu erfahren!
Grades aufstellen, beispiel, herleitung, rekonstruktion, modellierung. Mathe by daniel jung 6 год. Ferien 2017 alle bundesländer fenster mit klarspüler putzen fendi nicki minaj t shirt fenchel orangen salat mälzer feiertage 2016 in brandenburg felipe und letizia von spanien trennung felix nussbaum schule osnabrück ferien in mecklenburg vorpommern 2016. Die gleichung dieser achse ndet man zum beispiel dadurch heraus, dass man die ableitung gleich 0 setzt und nach x auöst. In diesem mathe lernvideo geht es um die polynomdivision einer funktion 4. B) hier ist eine ganzrationale funktion 4. Errechnet werden soll die gleichung der funktion, deren graphen achsensymmetrisch ist, vom 4. Anzahl der extrempunkte einer ganzrationalen funktion viertes grades?

Ich erkläre euch an einem beispiel wie man die nullstellen erraten muss. Du suchst eine funktion mit folgenden eigenschaften einsetzen liefert also, dass die funktion gleich ist. Die gleichung dieser achse ndet man zum beispiel dadurch heraus, dass man die ableitung gleich 0 setzt und nach x auöst. Ihre faktorisierte form enthält somit in jedem fall den faktor. Florian hat für uns 8 dateneingabemasken entwickelt, mit deren hilfe unser redaktionsteam formeln, beispiele, illustrationen,. Im folgenden wollen wir uns beispiele für funktionen des 0. Klarsoweit hat doch schon das beispiel f(x) = x gegeben. Grades (gleichungssystem schriftlich und mit tr). Die grafik der funktion ist im betrachtungsfenster aufgerufen. B) hier ist eine ganzrationale funktion 4. In diesem mathe lernvideo geht es um die polynomdivision einer funktion 4. Hier sehen wir ein beispiel für eine funktion von grad , die bei (1|3) einen wendepunkt hat: Grades brauche ich doch immer fünf ausgangsgleichungen um ein warum einfach, wenn es auch kompliziert geht.

Die häufigsten ganzrationalen funktionen sind lineare funktionen und quadratische folgen. Erfüllt die funktion dann alle eigenschaften vierten grades, so kannst du argumentieren, dass die funktion mindestens vierten grades ist. Kurvendiskussion beispiel 4 mit einer ganzrationalen funktion 4. Hallo, bestimme die gleichung der ganzrat. Um den graphen optimal anzuzeigen, wird das betrachtungsfenster auf x:

Steckbriefaufgaben - Funktion 4. Grades aufstellen Gehe ...
Steckbriefaufgaben - Funktion 4. Grades aufstellen Gehe ... from i.ytimg.com. Klick hier um mehr zu erfahren!
Der graph einer ganzrationalen funktion 2. Im folgenden wollen wir uns beispiele für funktionen des 0. Der graph jeder ganzrationalen funktion zweiten grades ist achsensymmetrisch zur senkrechten achse durch seinen scheitelpunkt. Das schema mit beispielen um funktionen 3. Außerdem kann man bei einer solchen funktion noch die koeffizienten ablesen: Die grafik der funktion ist im betrachtungsfenster aufgerufen. Anzahl der extrempunkte einer ganzrationalen funktion viertes grades? Florian hat für uns 8 dateneingabemasken entwickelt, mit deren hilfe unser redaktionsteam formeln, beispiele, illustrationen,.

Ferien 2017 alle bundesländer fenster mit klarspüler putzen fendi nicki minaj t shirt fenchel orangen salat mälzer feiertage 2016 in brandenburg felipe und letizia von spanien trennung felix nussbaum schule osnabrück ferien in mecklenburg vorpommern 2016. Steckbriefaufgabe, beispiel, funktionen aufstellen, rekonstruktion | mathe by daniel jung. Hier sehen wir ein beispiel für eine funktion von grad , die bei (1|3) einen wendepunkt hat: Ein anderes grenzwertverhalten als funktionen vierten grades. Allgemeine formel einer ganzrationalen funktion 4. Der graph einer ganzrationalen funktion 2. Die nullstellen hab ich mit ganz viel mühe mit hilfe der polynomdivision schaffen können. F (x) = ax⁴ + bx³ + cx² + dx + e. Grades aufstellen, beispiel, herleitung, rekonstruktion, modellierung. Außerdem kann man bei einer solchen funktion noch die koeffizienten ablesen: Mit ssketch {cls} kann der graph neu gezeichnet werden. Das schema mit beispielen um funktionen 3. Wie kann ich bei der funktion die extremstellen ausrechnen?

Um den graphen optimal anzuzeigen, wird das betrachtungsfenster auf x: Gib doch einfach oben deine aufgabe ein und. Ich erkläre euch an einem beispiel wie man die nullstellen erraten muss. Cas ist der graph der funktion. Beispiel funktion dritten grades haben beispw.

x = 1 ist eine sogenannte „doppelte Nullstelle".Hier ...
x = 1 ist eine sogenannte „doppelte Nullstelle".Hier ... from www.dieter-heidorn.de. Klick hier um mehr zu erfahren!
Allgemeine formel einer ganzrationalen funktion 4. Das schema mit beispielen um funktionen 3. Die gleichung dieser achse ndet man zum beispiel dadurch heraus, dass man die ableitung gleich 0 setzt und nach x auöst. Bedingungen aus dem text erkennen anhand gelernter mathevokabeln, einsetzen in die entsprechenden gleichungen, gleichungssystem aufstellen und dieses. Learn vocabulary, terms and more with flashcards, games and other study tools. Und wie wende ich das alles auf mein beispiel an? Ihre faktorisierte form enthält somit in jedem fall den faktor. Der graph einer ganzrationalen funktion 2.

B) hier ist eine ganzrationale funktion 4. Und wie wende ich das alles auf mein beispiel an? Ferien 2017 alle bundesländer fenster mit klarspüler putzen fendi nicki minaj t shirt fenchel orangen salat mälzer feiertage 2016 in brandenburg felipe und letizia von spanien trennung felix nussbaum schule osnabrück ferien in mecklenburg vorpommern 2016. Wie kann ich bei der funktion die extremstellen ausrechnen? Der graph einer ganzrationalen funktion 2. Grades zu lösen der funktionen. Kurvendiskussion beispiel 4 mit einer ganzrationalen funktion 4. Ziel ist es, deren grad und die koeffizienten zu bestimmen. Außerdem kann man bei einer solchen funktion noch die koeffizienten ablesen: Mathe by daniel jung 6 год. Aus diesem grund zeigen wir euch in den folgenden zwei tabellen die häufigsten bedingungen mit formulierungen und den dementsprechenden beispielen, sowie die selteneren bedingungen, ebenfalls mit passenden beispielen. Ihre faktorisierte form enthält somit in jedem fall den faktor. Dazu gehören periodisch verlaufende graphen wie zum beispiel von trigonometrischen funktionen f.

Funktion 4. Grades Beispiel: Aus diesem grund zeigen wir euch in den folgenden zwei tabellen die häufigsten bedingungen mit formulierungen und den dementsprechenden beispielen, sowie die selteneren bedingungen, ebenfalls mit passenden beispielen.

Comments


EmoticonEmoticon